Czym jest SHAKUHACHI
Budowa
Pochodzenie
Styl muzyczny
Walory brzmieniowe
Modelowanie falowodowe
Model SHAKUHACHI
Modelowanie ustnika
Modelowanie korpusu
Modelowanie otworu
Sterowanie artykulacją



Czym jest SHAKUHACHI

Shakuhachi to japoński flet prosty.

SHAKU oznacza tradycyjną japońską miarę długości. Europejskim odpowiednikiem tej miary jest stopa ( ~30 [cm] ). Długość SHAKUHACHI oznacza jedno ( po japońsku ICHI ) shaku i osiem (HACHI) sun, w całości po japońsku ICHI SHAKU HACHI SUN, w skrócie SHAKU-HACHI


BUDOWA

  • W ogólności Shakuhachi wykonany jest z bambusu ściętego przy korzeniu.

  • Posiada pięć otworów bocznych.

  • Wnętrze fletu pokryte jest lakierem URUSHI.

  • Dźwięki generowane przez ten instrument należą do skali pentatonicznej.

  • Należy do rodziny END-BLOWN AEROPHONE.


POCHODZENIE

Pierwsze konstrukcje fletów podobnych do shakuhachi znaleziono na terenach Chin, Indii oraz na środkowym wschodzie. Przyjmuje się, że shakuhachi dotarł do Japonii w około VII wieku naszej ery. Ze względu na swoją prostą konstrukcję i fascynujące brzmienie szybko zdobywał popularność. Wykorzystywany był w GAGAKU, grali na nim chłopi. Dźwięki wydobywane za jego pomocą inspirowały również mnichów praktykujących ZEN.


STYL MUZYCZNY

GAGAKU - muzyka uroczysta - wykonywana podczas obrzędów w buddyjskich świątyniach oraz ceremonii dworskich.

Teoria gagaku opierała się na uznaniu określonej roli jednego dźwięku, dźwięku rozpatrywanego w oderwaniu. Cecha ta różni ten styl od muzyki europejskiej, w której główną rolę odgrywają powiązania między dźwiękami.

Każdy, wzięty odzielnie dźwięk skali pentatonicznej oznaczał jakiś element, barwę lub substancję filozoficzną.
NUTA STRONA
śWIATA
PLANETA ELEMENT KOLOR
Kio ( C )PÓŁNOCMERKURYDRZEWOCZARNY
Sio ( D )WSCHÓDJOWISZWODANIEBIESKI
Kaku ( E )śRODEKSATURNZIEMIAŻÓŁTY
Cio ( G )ZACHÓDWENUSMETALBIAŁY
U ( A )POŁUDNIEMARSOGIEŃCZERWONY

WALORY BRZMIENIOWE

Współcześnie organizowanych jest wiele festiwali, na których występują zarówno soliści jak i liczne zespoły. Powstają szkoły, w których można nauczyć się gry lub udoskonalić technikę. Wszystkich tych ludzi łączy pasja i wielki entuzjazm wynikający z ogromnej satysfakcji, jakiej dostarcza zarówno gra (choć nie jest łatwa) jak i samo słuchanie wykonań mistrzów.

Powrót

Modelowanie falowodowe

Falowodowa synteza dźwięku należy do grupy metod wykorzystujących modelowanie fizyczne.

Modelowanie instrumentów dętych.

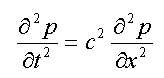
Jednowymiarowe równanie falowe dla fali płaskiej.

c - prędkość dźwięku
p - ciśnienie
t - czas
x - odległość wzdłóż osi korpusu piszczałki

Zasada opiera się na modelowaniu fal bierzących opisanych przez rozwiązanie ogólne równania falowego za pomocą cyfrowego falowodu.

- fala bierząca ciśnienia przemieszczająca się w kierunku dodatnich wartości x z prędkością c.

- fala bierząca ciśnienia przemieszczająca się w kierunku ujemnych wartości x z prędkością c.

Więcej informacji na temat mofelowania falowodowego na stronie ....

Powrót

Model falowodowy

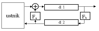
MODELOWANIE USTNIKA

Schemat blokowy układu modelującego zjawiska zachodzące w ustniku fletu zamieszczono poniżej.

Istotną częścią układu jest blok modelujący zjawiska nieliniowe zachodzące przy procesie generacji dźwięku. Parametry tego bloku mają zasadniczy wpływ na uzyskiwaną barwę.
Generator szumu - dodaje do sygnału składową szumową,
DL - linia opóźniająca, jej zadaniem jest modelowanie opóźnienia pomiędzy ustami muzyka a wargą ustnika.
Const (kąt) - jej obecność wpływa na zawartość parzystych harmonicznych w widmie.
DC - eliminacja składowej stałej.
Konwersja - zamiana wartości chwilowej ciśnienia na parametry sterujące linią opóźniającą.
Układ pierwiastkujący - zapewnienie odpowiedniego poziomu sygnału w pętli.


MODELOWANIE KORPUSU

Istnieje kilka metod modelowania profilu korpusu instrumentu. Zostaną przedstawione trzy koncepcje.

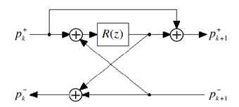
Dwukierunkowa linia opóźniająca.

Modelowanie za pomocą tub cylindrycznych.

Model falowodowy składa się z wielu linii opóźniających połączonych układami rozpraszającymi.

Budowa układu rozpraszającego

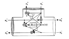
Modelowanie za pomocą tub konicznych.

Model falowodowy składa się z wielu linii opóźniających połączonych układami rozpraszającymi.

Istotna różnica w stosunku do wcześniej przedstawionego rozwiązania polega na zastąpieniu prostego mnożenia filtrem. Istotną zaletą tego podejścia jest możliwość stosowania mniejszej ilości elementów w modelowanym korpusie.


MODELOWANIE OTWORU

Bardzo ważnym elementem w omawianym modelu są otwory boczne. Poniżej przedstawiono sposób jego implementacji.

Falowodowy model otworu.


STEROWANIE ARTYKULACJą

Istotną przewagą falowodowego modelowania dźwięku nad innymi metodami syntezy jest możliwość artykulacji. W prezentowanym modelu można w sposób "ciągły" modelować zmianę ciśnienia, zmianę kąta, wysokość dźwięku oraz dodać efekt wibrato.

Powrót