Metoda FM

Opis syntezy
Schemat blokowy i podstawowe parametry
Widmo syntezy
Przykłady muzyczne


Opis syntezy

Synteza FM zapoczątkowana przez John’a M. Chowing’a. Opracowana została w latach sześćdziesiątych. Pierwszym syntetyzerem wykorzystującym tą metodę, była Yamaha DX-7. Później pojawiły się karty muzyczne rodziny Sound Blaster które działały w oparciu o tą metodę. Synteza FM charakteryzuje się małą złożonością obliczeniową, ale jednocześnie, słabą wiernością brzmienia instrumentów naturalnych.


DX7Powrót

Schemat blokowy i podstawowe parametry

Do wytworzenia dźwięku stosuje się układy zwane operatorami. Jeden z nich generuje sygnał o częstotliwości nośnej, drugi generuje sygnał modulujący nośną. Informacja o rodzaju instrumentu jest podawana w postaci danych obwiedni ADSR. Schemat prostego syntetyzera FM składającego się z dwóch operatorów został przedstawiony na rysunku 1 . W obecnych układach stosuje się do 6 operatorów, połączonych wzajemnie w sposób zależny od wybranego algorytmu. Każdy operator składa się z generatora przebiegu, generatora obwiedni ADSR, oraz amplifiltru regulującego amplitude wyjściową sygnału.

SCHEMAT BLOKOWY

Rys. 1

Podstawowe parametry:

A(n)-amplituda sygnału
I(n)-indeks modulacji
fc- częstotliwość nośna
fm- częstotliwość modulująca
T - okres próbkowania

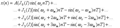
Wartość amplitudy n-tej próbki:
WZOR NA PRZEBIEG CZASOWY

Powrót

Widmo syntezy

Widmo syntezy zależy bezpośrednio od wartości indeksu modulacji. Przy jego zwiększaniu widmo zajmuje szersze pasmo, pojawiają się kolejne harmoniczne sygnału. Sytuacja ta jest przedstawiona na rysunku 2. Jak można łatwo zaobserwować, synteza ta słabo odwzorowywuje instrumenty których widmo zawiera liczne składowe nieharmoniczne. Istnieje jednak możliwość dobrania takiego indeksu modulacji, aby składowe harmoniczne na zasadzie "aliasingu" odbiły sie tworząc składowe nieharmoniczne

WIDMO SYNTEZY

Rys. 2

Wzór opisujący widmo dźwięku syntetycznego:

WZOR NA WIMO

Powrót

Przykłady muzyczne

IKONKA GŁOśNIKA Przykład częstotliwości podstawowej 440 Hz i modulującej 20 Hz
IKONKA GŁOśNIKA Przykład częstotliwości podstawowej 440 Hz i modulującej 220 Hz
IKONKA GŁOśNIKA Przykład częstotliwości podstawowej 440 Hz i modulującej 330 Hz

IKONKA GŁOśNIKA Przykład ciągłej zmiany indeksu modulacji przy częstotliwości podstawowej 440Hz i modulującej 110 Hz

IKONKA GŁOśNIKA Przykład syntezy dźwięku skrzypiec opartego na 4 operatorach

Powrót



Uwagi kieruj do: Jacek Czerniawski
© Katedra Inżynierii Dzwięku i Obrazu,Politechnika Gdańska.