Falowodowe modelowanie skrzypiec


Ogólny model instrumentu smyczkowego
Szczegółowy model skrzypiec


Uogólniony model instrumentu smyczkowego


Rys.1 Uogólniony model instrumentu smyczkowego





Podstawową zmienną kontrolującą cały układ jest prędkość smyczka vb, co z góry warunkuje fakt, iż linie opóźniające będą symulowały rozchodzenie się fali prędkości. Smyczek dzieli cały układ na dwie części. Jego zasadniczą operacją jest skoordynowanie tarcia pomiędzy smyczkiem a struną z położeniem struny a impedancją falową struny. Przy symulacji instrumentów smyczkowych (rys.1) prędkość wejściowa (która jest wprowadzana równocześnie w dwóch kierunkach rozchodzenia się) musi być taka, że siła poprzeczna smyczka, wywierana na strunę jest równoważona przez siłę reakcji poruszającej się struny.

 Tworzenie instrumentów wirtualnych metodą falowodową polega na odzwierciedleniu nie tylko budowy rzeczywistego instrumentu, ale również zjawisk, które w nim zachodzą. W celu dokładnej symulacji dźwięku skrzypiec, uogólniony  model przedstawiony na rysunku 1 należy rozszerzyć o dodatkowe elementy. W związku z tym w modelu powinny wystąpić cztery modele pojedynczej struny, których wysokości dźwięków powinny odpowiadać wysokościom dźwięków czterech strun rzeczywistego instrumentu. Następnie każdy model pojedynczej struny należy wzbogacić o dadatkowy falowowód symulujący drgania skrętne. Podobnie jak w rzeczywistym instrumencie, model skrzypiec powinien symulować zjawisko sprzężenia pomiędzy strunami, które jest wynikiem drgań mostka. Uogólniony model skrzypiec, uwzględniający cztery struny oraz sprzężenia pomiędzy nimi przedstawiono na rys.2.
 
 


Rys.2 Uogólniony model skrzypiec uwzględniający sprzężenia pomiędzy strunami


Powrót

Szczegółowy model skrzypiec


Rys.3 Szczegółowy model skrzypiec

Para prawych linii opóźniających, która próbkuje składniki fali bieżącej w obrębie struny na prawo od smyczka, przenosi odpowiednio prawo i lewo-biegnące próbki fali prędkości  . Sytuacja przedstawia się podobnie w sekcji na lewo od smyczka. Znak’+’ oznacza fale przemieszczajšce się w kierunku smyczka .

 Prędkość struny w jakimkolwiek punkcie jest otrzymywana poprzez dodanie próbki  prędkości lewo-biegnącej do próbki prędkości prawo-biegnącej. Filtr odbicia implementuje straty spowodowane wpływem mostka, smyczka, kołka oraz dodatkowo tłumienie i dyspersję spowodowane przemieszczaniem się palca po strunie. W dużym przybliżeniu, kołek odbija nadchodzące fale prędkości (zmieniajšc znak) w całym zakresie długości fal. Mostek zachowuje się podobnie, z tą różnicą, że pojawiają się dodatkowe (złożone) straty spowodowane skończoną impedancją mostka (charakterystyczne drgania mostka), konieczną w celu przenoszenia drgań struny na korpus instrumentu .
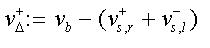
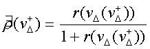
 Cały układ jest sterowany poprzez prędkość różnicową , zdefiniowaną jako różnica pomiędzy prędkością  smyczka vb i bieżšcš prędkościš struny vs. Inne parametry sterujšce układem to siła i pozycja smyczka .

 Interakcję pomiędzy struną a smyczkiem można opisać poprzez następujące zależności matematyczne:

gdzie vs,r oznacza prędkość poprzeczną w części układu na prawo od smyczka, natomiast vs,l reprezentuje prędkość poprzecznš w części układu na lewo od smyczka. Dodatkowo :

gdzie vb oznacza prędkość smyczka, natomiast   zdefiniowano jako :

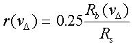
Współczynnik impedancji zdefiniowano jako :

gdzie Rs reprezentuje impedancję falową struny,  jest współczynnikiem tarcia smyczka względem struny, natomiast va oznacza różnicę pomiędzy prędkością smyczka i struny :

gdzie  vs oznacza prędkość struny:

Na rys.3 przedstawiono tablicę smyczka dla falowodowego modelu skrzypiec :
 
 


Rys.3 Przykładowa tablica smyczka dla falowodowego modelu skrzypiec

Płaski środek nawiązuje do wyznaczonego współczynnika odbicia „widzianego” przez falę bieżącą napotykającą smyczek dotykajšcy strunę. Natomiast zewnętrzna część krzywej zamieszczonej na rys.3, wskazuje na mniejszy współczynnik odbicia, który związany jest ze zredukowaną siłą interakcji pomiędzy struną i smyczkiem w przypadku gdy struna prześlizguje się pod smyczkiem.

 Reasumując można powiedzieć, że współczynnik tarcia  jest stały w przypadku, gdy  , gdzie
jest jednocześnie prędkością przechwycenia struny i jej wypuszczenia. Dla  współczynnik tarcia maleje w szybkim tempie.

Powrót